https://leetcode-cn.com/problems/powx-n/description/
实现 pow(x, n) ,即计算 x 的 n 次幂函数。
示例 1:
输入: 2.00000, 10
输出: 1024.00000
示例 2:
输入: 2.10000, 3
输出: 9.26100
示例 3:
输入: 2.00000, -2
输出: 0.25000
解释: 2-2 = 1/22 = 1/4 = 0.25
说明:
-100.0 < x < 100.0
n 是 32 位有符号整数,其数值范围是 [−231, 231 − 1] 。
这道题是让我们实现数学函数幂,因此直接调用系统内置函数是不被允许的。
符合直觉的做法是将x乘以n次,这种做法的时间复杂度是$O(N)$。
经实际测试,这种做法果然超时了。测试用例通过 291/304,在 0.00001\n2147483647这个测试用例挂掉了。如果是面试,这个解法可以作为一种兜底解法。
语言支持: Python3
Python3 Code:
class Solution:
def myPow(self, x: float, n: int) -> float:
if n == 0:
return 1
if n < 0:
return 1 / self.myPow(x, -n)
res = 1
for _ in range(n):
res *= x
return res首先我们要知道:
- 如果想要求 x ^ 4,那么我们可以求 (x^2)^2
- 如果是奇数,会有一点不同。 比如 x ^ 5 就等价于 x * (x^2)^2。
当然 x ^ 5 可以等价于 (x ^ 2) ^ 2.5, 但是这不相当于直接调用了幂函数了么。对于整数,我们可以很方便的模拟,但是小数就不方便了。
我们的思路就是:
- 将 n 地板除 2,我们不妨设结果为 a
- 那么 myPow(x, n) 就等价于
myPow(x, a) * myPow(x, n - a)
很可惜这种算法也会超时,原因在于重复计算会比较多,你可以试一下缓存一下计算看能不能通过。
如果你搞不清楚有哪些重复计算,建议画图理解一下。
语言支持: Python3
Python3 Code:
class Solution:
def myPow(self, x: float, n: int) -> float:
if n == 0:
return 1
if n == 1:
return x
if n < 0:
return 1 / self.myPow(x, -n)
return self.myPow(x, n // 2) * self.myPow(x, n - n // 2)上面的解法每次直接 myPow 都会调用两次自己。我们不从缓存计算角度,而是从减少这种调用的角度来优化。
我们考虑 myPow 只调用一次自身可以么? 没错,是可以的。
我们的思路就是:
- 如果 n 是偶数,我们将 n 折半,底数变为 x^2
- 如果 n 是奇数, 我们将 n 减去 1 ,底数不变,得到的结果再乘上底数 x
这样终于可以 AC。
语言支持: Python3
Python3 Code:
class Solution:
def myPow(self, x: float, n: int) -> float:
if n == 0:
return 1
if n == 1:
return x
if n < 0:
return 1 / self.myPow(x, -n)
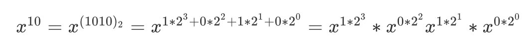
return self.myPow(x _ x, n // 2) if n % 2 == 0 else x _ self.myPow(x, n - 1)我们来从位(bit)的角度来看一下这道题。如果你经常看我的题解和文章的话,可能知道我之前写过几次相关的“从位的角度思考分治法”,比如 LeetCode 458.可怜的小猪。
以 x 的 10 次方举例。10 的 2 进制是 1010,然后用 2 进制转 10 进制的方法把它展成 2 的幂次的和。
因此我们的算法就是:
- 不断的求解 x 的 2^0 次方,x 的 2^1 次方,x 的 2^2 次方等等。
- 将 n 转化为二进制表示
- 将 n 的二进制表示中
1的位置pick 出来。比如 n 的第 i 位为 1,那么就将 x^i pick 出来。 - 将 pick 出来的结果相乘
这里有两个问题:
第一个问题是似乎我们需要存储 x^i 以便后续相乘的时候用到。实际上,我们并不需要这么做。我们可以采取一次遍历的方式来完成,具体看代码。
第二个问题是,如果我们从低位到高位计算的时候,我们如何判断最高位置是否为 1?我们需要一个 bitmask 来完成,这种算法我们甚至需要借助一个额外的变量。 然而我们可以 hack 一下,直接从高位到低位进行计算,这个时候我们只需要判断最后一位是否为 1 就可以了,这个就简单了,我们直接和 1 进行一次与运算即可。
语言支持: Python3
Python3 Code:
class Solution:
def myPow(self, x: float, n: int) -> float:
if n < 0:
return 1 / self.myPow(x, -n)
res = 1
while n:
if n & 1 == 1:
res *= x
x *= x
n >>= 1
return res- 超时分析
- hashtable
- 数学分析
- 位运算
- 二进制转十进制



