這篇是新手教學系列中的第一篇,旨在闡述 IOTA 內部是如何運作的。我們會大概按照白皮書上所說的做解釋,不過會慢下腳步附上圖解一步步解釋基本概念。在本文中我們將介紹什麼是 tangle 以及我們 IOTA 研究團隊是如何用數學的角度瞭解它的。
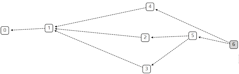
欲瞭解 tangle,我們首先需要知道何謂資工人所說的有向圖。所謂的有向圖就是一堆 頂點 (方框)用 邊 (箭頭)連接起來的集合,下圖就是一張有像圖的例子:
Tangle 是 IOTA 背後運作的資料結構,它就是一種包含 交易數據 的特殊有向圖,圖中每個頂點代表的是每筆交易。當有新的交易加入 tangle 時它必須 確認 之前兩筆交易,新增兩個邊到圖中。在上面的例子中,交易 5 確認了交易 2 和 3。交易資訊的格式和大家通常想到得差不多,基本上就是「某 A 給某 B 10 IOTAs」。 目前我們不會太去在意交易確認的問題,之後我們會再去探討。
我們會稱尚未確認的交易為 tips 。在此例中,交易 6 就是個 tip,因為還沒有任何人去驗證它。每個加入的交易都需要選擇兩個 tips 來確認(永遠至少會有一個)。選擇哪兩個 tips 來確認的策略非常重要,這是 IOTA 技術獨特的關鍵之一。不過為了方便起見,我們這邊會先採用比較簡單的策略:在所有 tips 中隨機選擇就好。每個加入的交易會查看所有尚未確認的交易,然後隨機選擇兩個即可。
為了顯示當所有人都使用隨機策略(技術上來說叫做「均勻隨機選擇」)時 tangle 會是怎麼樣子,我們做了個視覺模擬。
此模擬會產生隨機 tangle,最左側的就是第一筆交易(稱作 創始交易 )而最右側則是最近的交易,tips 會用灰色方框標示起來。當你將滑鼠移到其中一個交易時,所有受到此交易驗證的交易會用紅色標示起來,而所有確認它的交易則是藍色。
目前我們先解說到此,我們邀請你玩玩看這個模擬,試試看不同的設定,要是有問題的話可以到 #tanglemath Discord 頻道詢問。在下一篇文章中,我們將會解釋什麼是 交易速率 (λ)、解釋更多進階概念像是間接驗證和隱藏的 tips 等以及學習更多複雜的 tip 選擇策略:無權重隨機漫步。
