Skip to content

Latest commit

 

History

History
 
 

Folders and files

NameName
Last commit message
Last commit date

parent directory

..
 
 

README.md

Given the root of a binary search tree and the lowest and highest boundaries as low and high, trim the tree so that all its elements lies in [low, high]. Trimming the tree should not change the relative structure of the elements that will remain in the tree (i.e., any node's descendant should remain a descendant). It can be proven that there is a unique answer.

Return the root of the trimmed binary search tree. Note that the root may change depending on the given bounds.

 

Example 1:

Input: root = [1,0,2], low = 1, high = 2
Output: [1,null,2]

Example 2:

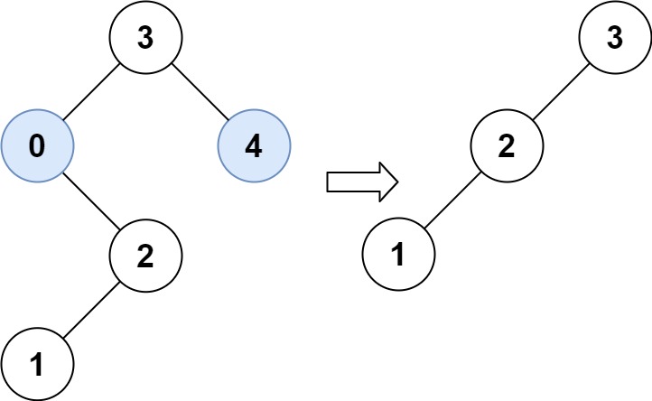
Input: root = [3,0,4,null,2,null,null,1], low = 1, high = 3
Output: [3,2,null,1]

Example 3:

Input: root = [1], low = 1, high = 2
Output: [1]

Example 4:

Input: root = [1,null,2], low = 1, high = 3
Output: [1,null,2]

Example 5:

Input: root = [1,null,2], low = 2, high = 4
Output: [2]

 

Constraints:

  • The number of nodes in the tree in the range [1, 104].
  • 0 <= Node.val <= 104
  • The value of each node in the tree is unique.
  • root is guaranteed to be a valid binary search tree.
  • 0 <= low <= high <= 104

Related Topics:
Tree, Recursion

Companies:
Microsoft

Solution 1.

// OJ: https://leetcode.com/problems/trim-a-binary-search-tree/
// Author: github.com/lzl124631x
// Time: O(N)
// Space: O(logN)
class Solution {
public:
    TreeNode* trimBST(TreeNode* root, int L, int R) {
        if (!root) return NULL;
        if (root->val < L) return trimBST(root->right, L, R);
        if (root->val > R) return trimBST(root->left, L, R);
        root->left = trimBST(root->left, L, R);
        root->right = trimBST(root->right, L, R);
        return root;
    }
};