Given the head of a sorted linked list, delete all nodes that have duplicate numbers, leaving only distinct numbers from the original list. Return the linked list sorted as well.
Example 1:
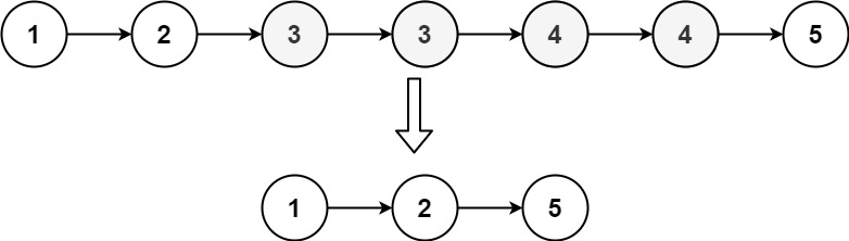
Input: head = [1,2,3,3,4,4,5] Output: [1,2,5]
Example 2:
Input: head = [1,1,1,2,3] Output: [2,3]
Constraints:
- The number of nodes in the list is in the range
[0, 300]. -100 <= Node.val <= 100- The list is guaranteed to be sorted in ascending order.
Related Topics:
Linked List
Similar Questions:
// OJ: https://leetcode.com/problems/remove-duplicates-from-sorted-list-ii/
// Author: github.com/lzl124631x
// Time: O(N)
// Space: O(1)
class Solution {
public:
ListNode* deleteDuplicates(ListNode* head) {
ListNode h, *tail = &h;
while (head) {
if (head->next == NULL || head->next->val != head->val) {
tail->next = head;
tail = head;
head = head->next;
} else {
int val = head->val;
while (head && head->val == val) head = head->next;
}
}
tail->next = NULL;
return h.next;
}
};
