3068. Find the Maximum Sum of Node Values #1717
-
Topics: There exists an undirected tree with Alice wants the sum of values of tree nodes to be maximum, for which Alice can perform the following operation any number of times (including zero) on the tree:
Return the maximum possible sum of the values Alice can achieve by performing the operation any number of times. Example 1:
Example 2:
Example 3:
Constraints:
Hint:
|
Beta Was this translation helpful? Give feedback.
Replies: 1 comment 2 replies
-
We need to maximize the sum of node values in an undirected tree after performing any number of operations on its edges. Each operation involves XORing the values of two connected nodes with a given integer Approach
Let's implement this solution in PHP: 3068. Find the Maximum Sum of Node Values <?php
/**
* @param Integer[] $nums
* @param Integer $k
* @param Integer[][] $edges
* @return Integer
*/
function maximumValueSum($nums, $k, $edges) {
$maxSum = 0;
$changedCount = 0;
$minChangeDiff = PHP_INT_MAX;
foreach ($nums as $num) {
$maxSum += max($num, $num ^ $k);
$changedCount += (($num ^ $k) > $num) ? 1 : 0;
$minChangeDiff = min($minChangeDiff, abs($num - ($num ^ $k)));
}
if ($changedCount % 2 == 0)
return $maxSum;
return $maxSum - $minChangeDiff;
}
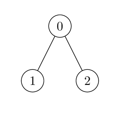
// Example 1:
$nums = [1,2,1];
$k = 3;
$edges = [[0,1],[0,2]];
echo maximumValueSum($nums, $k, $edges); // Output: 6
// Example 2:
$nums = [2,3];
$k = 7;
$edges = [[0,1]];
echo maximumValueSum($nums, $k, $edges); // Output: 9
// Example 3:
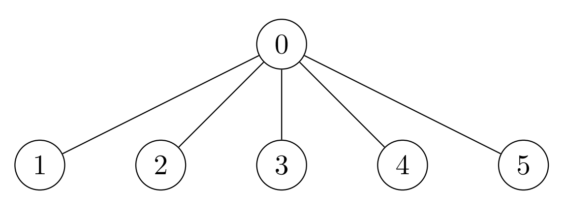
$nums = [7,7,7,7,7,7];
$k = 3;
$edges = [[0,1],[0,2],[0,3],[0,4],[0,5]];
echo maximumValueSum($nums, $k, $edges); // Output: 42
?> Explanation:
This approach efficiently computes the maximum sum by focusing on individual node contributions and adjusting for parity constraints, ensuring optimal performance with a linear time complexity of O(n). |
Beta Was this translation helpful? Give feedback.
We need to maximize the sum of node values in an undirected tree after performing any number of operations on its edges. Each operation involves XORing the values of two connected nodes with a given integer
k
. The challenge is to determine the optimal set of operations to achieve the highest possible sum of node values.Approach
Understand the Operation: Each operation on an edge XORs the values of the two connected nodes with
k
. XORing a value withk
an even number of times reverts it to its original value, while an odd number of times changes it to the XOR result.Maximize Individual Node Values: For each node, compute the value after XORing with
k
and compare it with the original v…