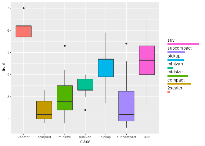
Something of the sort: <!-- --> Wouldn't work with anything other than colour/fill, how else would we relate the bars to the observations?