-
Notifications
You must be signed in to change notification settings - Fork 2.1k
Closed as not planned
Description
I noticed GeomSmooth was doubling whatever the user the linewidth is, including when the user specifies it in the theme with element_geom. This makes things really confusing. I.e. you set it as 0.66, and it provides linewidth of 1.32.
Could the linewidth just take whatever is provided by the user?
I also noticed GeomTile doing likewise multiplying by 0.4
library(tidyverse)
GeomSmooth$default_aes
#> Aesthetic mapping:
#> * `colour` -> `from_theme(colour %||% accent)`
#> * `fill` -> `from_theme(fill %||% col_mix(ink, paper, 0.6))`
#> * `linewidth` -> `from_theme(2 * linewidth)`
#> * `linetype` -> `from_theme(linetype)`
#> * `weight` -> 1
#> * `alpha` -> 0.4
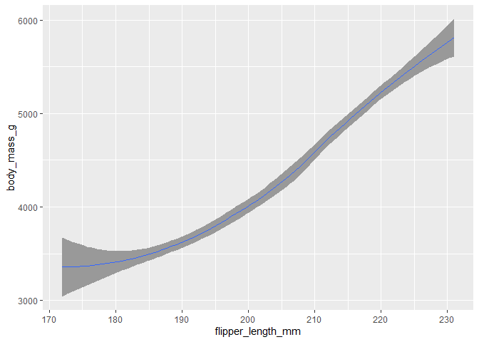
palmerpenguins::penguins |>
ggplot() +
geom_smooth(
aes(x = flipper_length_mm,
y = body_mass_g),
alpha = NA,
linewidth = 0.66,
)
#> `geom_smooth()` using method = 'loess' and formula = 'y ~ x'
#> Warning: Removed 2 rows containing non-finite outside the scale range
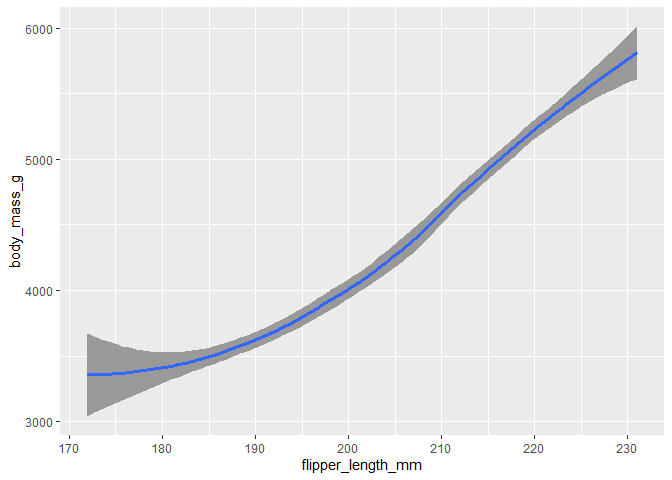
#> (`stat_smooth()`).palmerpenguins::penguins |>
ggplot() +
geom_smooth(
aes(x = flipper_length_mm,
y = body_mass_g),
alpha = NA,
) +
theme(geom.smooth = element_geom(linewidth = 0.66))
#> `geom_smooth()` using method = 'loess' and formula = 'y ~ x'
#> Warning: Removed 2 rows containing non-finite outside the scale range
#> (`stat_smooth()`).GeomTile$default_aes
#> Aesthetic mapping:
#> * `fill` -> `from_theme(fill %||% col_mix(ink, paper, 0.2))`
#> * `colour` -> `from_theme(colour %||% NA)`
#> * `linewidth` -> `from_theme(0.4 * borderwidth)`
#> * `linetype` -> `from_theme(bordertype)`
#> * `alpha` -> NA
#> * `width` -> 1
#> * `height` -> 1Created on 2025-06-26 with reprex v2.1.1
Metadata
Metadata
Assignees
Labels
No labels

