-
Notifications
You must be signed in to change notification settings - Fork 3
Open
Description
617. 合并二叉树
Description
Difficulty: 简单
Related Topics: 树, 深度优先搜索, 广度优先搜索, 二叉树
给你两棵二叉树: root1 和 root2 。
想象一下,当你将其中一棵覆盖到另一棵之上时,两棵树上的一些节点将会重叠(而另一些不会)。你需要将这两棵树合并成一棵新二叉树。合并的规则是:如果两个节点重叠,那么将这两个节点的值相加作为合并后节点的新值;否则,不为 null 的节点将直接作为新二叉树的节点。
返回合并后的二叉树。
注意: 合并过程必须从两个树的根节点开始。
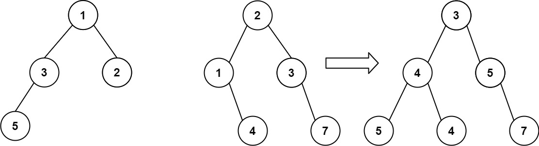
示例 1:
输入:root1 = [1,3,2,5], root2 = [2,1,3,null,4,null,7]
输出:[3,4,5,5,4,null,7]
示例 2:
输入:root1 = [1], root2 = [1,2]
输出:[2,2]
提示:
- 两棵树中的节点数目在范围
[0, 2000]内 - -104 <= Node.val <= 104
Solution
Language: JavaScript
/**
* Definition for a binary tree node.
* function TreeNode(val, left, right) {
* this.val = (val===undefined ? 0 : val)
* this.left = (left===undefined ? null : left)
* this.right = (right===undefined ? null : right)
* }
*/
/**
* @param {TreeNode} root1
* @param {TreeNode} root2
* @return {TreeNode}
*/
var mergeTrees = function(root1, root2) {
if (root1 === null) return root2
if (root2 === null) return root1
return new TreeNode(
root1.val + root2.val,
mergeTrees(root1.left, root2.left),
mergeTrees(root1.right, root2.right),
)
};Metadata
Metadata
Assignees
Labels
No labels
