What density function does "HAR1" as prior on coefficients correspond to? #4
-
|
Hello, First of all, thank you for the dynsurv package. I am not having any trouble using the code, which is wonderful! However, I would like to know what the prior density on the coefficients is that corresponds to the "HAR1" selection (as exemplified in the code below from the dynsurv documentation). That is, I don't know right now what "HAR1" corresponds to in terms of a known density function. My current best guess from reading Wang et al. BMC Medical Research Methodology (2016) is that the prior in this case is a Gaussian with mean 0 and variance given by a scaled (by a variable named "ao" in that paper) inverse gamma with the specified shape and scale parameters. Is that right? If so, is "a0" specified/hard-coded somewhere, or does it also have a prior? Fit dynamic coefficient model with dynamic hazards (in log scales)fit3 <- bayesCox(myformula, mydata, model = "Dynamic", Many thanks, |
Beta Was this translation helpful? Give feedback.
Replies: 1 comment 4 replies
-
|
I found in the comments of the bayesCox function that a0 defaults to 100: ##' \item{a0:}{Multiplier for initial variance in time-varying or dynamic So the only thing that remains from my initial question is whether the prior on the coefficients is a Gaussian with mean 0 and variance given a0 times an inverse gamma with the specified shape and scale parameters. Thanks again, |
Beta Was this translation helpful? Give feedback.


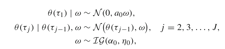
Hi Eric,
The prior specifications for the dynamic model are given as follows:
where${\tau_j}$ 's are jump points, $J$ is the number of jumps, and $a_0$ is a hyperparameter. See Section 3 of Wang et al., (2013) for details.