¡Hola mundo! Este es el comienzo del curso Métodos Computacionales.
Herramientas del curso:
- git
- gitHub
- bash
- C
- Python
- MarkDown
y los métodos a estudiar son:
- Interpolación
- Análisis de Fourier
- Diferenciación e integración numéricas
- Ecuaciones diferenciales ordinarias
- Ecuaciones diferenciales parciales
- Métodos de Monte carlo.
ssh: Es un protocolo de redes que permite conectarse a computadores remotamente.
$ ssh usuario@compufi[1-25].uniandes.edu.co # Se conecta a una de las 25 máquinas de compu-física.sftp: Es un protocolo de redes que permite el manejo de archivos en computadores remotos.
$ sftp usuario@compufi[1-25].uniandes.edu.co
$ ls #Lista los archivos y carpetas del computador remoto.
$ cd carpeta_remota # Cambia la carpeta del computador remoto.
$ get archivo_remoto # Importa un archivo desde el computador remoto.
$ put archivo_local # Exporta un archivo desde el computador local al remoto.echo: Permite mostrar un mensaje o el valor de una variable en la terminal.
$ echo "¡Hola mundo!"
¡Hola mundo!
$ x=12 # Asigna un valor a la variable x.
$ echo $x # $ sirve para llamar el valor de una variable.
12| Método | Función |
|---|---|
| pwd | Muestra el directorio o carpeta actual. |
| ls | Lista los archivos y subdirectorios del directorio actual |
| mkdir carpeta | Crea una nueva carpeta con el nombre dado |
| cd carpeta | C ambia el directorio actual a la carpeta indicada |
| rmdir carpeta | Borra la carpeta vacía con nombre indicado |
| touch archivo | Crea un archivo con nombre indicado si no existe |
| mv archivo1 archivo2 | Mueve el archivo a otro y permite renombrarlo |
| cp archivo1 archivo2 | Copia el archivo1 como archivo2 |
| rm archivo | Borra permanentemente un archivo |
| cat archivo | Muestra en la terminal el contenido de un archivo |
| tac archivo | Muestra en la terminal el contenido de un archivo al revés |
| head -n archivo | Muestra las primeras n líneas de un archivo en la terminal |
| tail -n archivo | Muestra las últimas n líneas de un archivo en la terminal |
| grep patrón archivo | Muestra las líneas del archivo que contienen un patrón o palabra |
| fold | Separa textos de acuerdo a argumentos entregados |
| chmod +x script.sh | Cambia los permisos del archivo para que sea ejecutable |
| man comando | Presenta el manual de algún comando de la terminal |
| history | Presenta el historial de los comandos ejecutados en la terminal |
| exit | Cierra la terminal de manera adecuada |
**wc: ** Cuenta el número de líneas, palabras, caráctereso o bytes de un archivo con las siguientes opciones:
- -c: bytes
- -m: caracteres
- -l: líneas
- -w: palabras
$ wc -c archivo # El número de bytes del archivo.**tar: ** Crea, comprime y descomprime archivos y directorios con las siguientes opciones:
- cvf : Crea un archivo.tar con los archivos solicitados.
- xvf : Descomprime un archivo deseado.
- zcvf: Comprime
$ tar -xvf compreso.tar.gz #Descomprime el archivo.wget: Descarga archivos desde una dirección de Internet.
$ wget -q dirección.com/documento.doc # -q para que no muestre información del proceso de descarga.**awk: ** Permite manejar partes de documentos que cumplan ciertos requerimientos. También, permite manejar columnas de documentos indicando con la opcion -F cuál es su divisor.
$ awk -F "," '{print $1}' archivo.csv #Imprime la segunda columna de un archivo delimitado por comas.
$ awk -F "," -v var=$varbash '{if(var==condición){Acción}}' archivo.csv # Importa una variable de bash a awk para que pueda ser usada en éste módulo.Git Es un software libre que permite llevar un apropiado registro y manejo de proyectos. Este crea espacios en el que se pueden guardar distintos estados de los archivos trabajados para poder ver su evoulución o recuperarlos si es necesario.
GitHub Es un página de internet que integra el sistema Git en línea facilitando su uso y el trabajo compartido. Será una de las principales herramientas del curso ya que a través de esta se subiran y calificaran las actividades.
$ git clone [url] # Permite clonar un repositorio de internet (como de GitHub) al computador.
$ git add --all # Agrega todos los cambios realizados para hacer un commit.
$ git -m commit [Mensaje] # Hace un commit (acuerdo que guarda el estado del proyecto). La opción -m permite mandar el mensaje del commit directamente desde la terminal.
$ git pull origin master # Importa los cambios del proyecto desde el repositorio en línea. Para esto se debió haber clonado un repositorio.
$ git push origin master # Exporta los cambios realizados en el computador al repositorio en línea. Cuidado: El repositorio local debe estar actualizado antes de hacer esto.
$ git log # Muestra el historial de los commits que se han realizado.$ echo "ejemplo" > ejemplo.txt # Crea un archivo.
$ git add ejemplo.txt # Agrega el archivo al área para hacer commit.
$ git commit -m "Agrego archivo" # Crea el commit.
$ git rm ejemplo.txt # Borra el archivo
$ git commit -m "Borro archivo" # Reporta los cambios al repositorio
$ git log # Muestra los commits que se han realizado.
$ git checkout iddelcommit # Permite revisar el repositorio en el estado del commit indicadose obtiene el archivo de /usuarios/homenfs7/j-lizara/Shared/MetodosComputacionales.tgz
$ tar -xvf MetodosComputacionales.tgz # Descomprime el archivo.
$ cd MetodosComputacionales # Cambia al directorio del repositorio.
$ git log | tail -15 # Imprime las últimas 15 lineas del log permitiendo ver los primeros commits.Con esto se obtiene el id del segundo commit que fue realizado elSat Jan 5 23:05:56 2013 con lo que se puede hacer uncheckout y observar que el tema de la semana 15 en el pénsum fue Métodos de interferencia Bayesiana
curl: Permite la obtención del código de una dirección web.
$ curl -s http://dirección.com/ #La opción -s (silence) hace que el programa no muestre información acerca del proceso de obetención del código.**sed: ** Es un editor que permite filtrar y transformar texto. Se comporta de la siguiente forma
$ sed -e 's/loquesevaareemplazar/porloquesereemplaza/g' archivo # Cambia las palabras/caracteres por el que se desea sin alterar el archivo original. Es decir, el resultado se presenta en la terminal o se redirige.Son usadas para aumentar la eficiencia en múltiples tareas de programación ya que permiten agrupar gran número de casos. A continuación se listan algunas de las usadas en sed de las cuales se puede requerir la opción -E para que se lean las expresiones regulares extendidas.
| Expresión | Significado |
|---|---|
| & | Se refiere al mismo patrón o palabra encontrada |
| . | Alude a cualquier caracter tantas veces como punto halla |
| [ ] | Alude a cualquier caracter o lista dentro de los corcheres |
| [a-z] | Se refiere a cualquier letra minúscula |
| [0-9] | Alude a cualquier dígito |
| [^ ] | Cualquier caracter que no esté dentro de los corchetes |
| ^ | Indíca que está al principio de una línea |
| $ | Indíca que está al final de una línea |
| * | Indíca que la expresión regular anterior se puede repetir varias veces |
| \ | Permite usar los caracteres empleados para otras expresiones (\. \* \$ ) |
| \(\) | Permite agrupar condiciones |
| \{n\} | Indíca el número de veces que se repite una expresión regular anterior |
| [:space:] | Indica cualquier tipo de espacios en blanco |
GnuPlot es una utilidad para generar gráficos a partir de líneas de comando que se puede implementar en distintos sistemas operativos. Es de bastante utilidad para generar gráficas sencillas en ambientes como la terminal.
$ gnuplot
gnuplot> set term dumb # Grafica dentro de la terminal.
gnuplot> set title "Title" # Permite poner títulos.
gnuplot> set xlabel "X" # Permite etiquetar el eje x.
gnuplot> set ylabel "Y" # Permite etiquetar el eje y.
gnuplot> plot sin(x) # Grafíca la función seno.
gnuplot> set parametric # Cambia el tipo de gráficas a paramétricas
gnuplot> set size ratio 0.5 # Cambia el aspecto de la gráfica.
gnuplot> plot [0:2*pi] sin(t),cos(t) # Grafica un círculo
# gracias al intervalo desde 0 a 2 * pi.$ sed -E 's/^.... //g' #Busca y elimina 4 caracteres que esten al comiezo de las líneas y continuen con un espacio.$ curl -s http://pi.karmona.com/ | sed 's/[^0-9]//g' | sed 's/103/3./g' | sed 's/.\{20\}/& \n/g' > PIslices20.dat # Descarga el archivo de los dígitos del número pi, borra todo lo que no sea número, arregla los primeros dígitos y los separa en líneas con 20 caracteres redireccionando el resultado a un nuevo archivo.$ editorausar nombrescript.sh # Crea el archivo del script y lo abre en un editor indicado.Dentro del editor
#!/bin/bash
# Lo anterior indíca la ruta del lenguaje a usar (Bash)
figlet "GnuPlot" #Adornos
gnuplot -persist << EOF #Permite que la gráfica se mantenga y le envía una serie de comandos.
#!/usr/local/bin/gnuplot -persist
set term qt #Hace que la gráfica se muestre en una ventana externa.
set datafile separator "," # Indica el tipo de separador del archivo.
plot "$1" using $2:$3 with linesp # Plotea los datos según los argumentos entregados.
pause -1
EOF # Termina la serie de comandos.Fuera del editor
$ chmod +x graficadorGnuplot.sh
$ ./graficadorGnuplot.sh joviansatellites.csv 2 3Gnuplot permite otras opciones como el manejo de escála logarítmica, el empleo de fechas en un eje o crear ajuste para datos.
$ gnuplot
gnuplot > set term qt # Grafica en una ventana externa.
gnuplot > set logscale xy # Dispone los ejes indicado en escála logarítmica.
gnuplot > unset key # Remueve la leyenda de la gráfica.
gnuplot > set datafile separator "," # Indíca que el archivo está separado por comas.
gnuplot > plot "archivo.csv" using 2:3 with points.
# Grafica los datos encontrados en la segunda y tercer columna de un archivo poniendo puntos en sus coordenadas.
gnuplot> set grid # Crea una rejilla en la gráfica.
gnuplot> func1(x) = sin(x) # Permite definir una función o constante.
gnuplot> plot func1,func2 with yerrosbars
#Permite gráficar más de una función a la vez. En este caso más barra de error.Python es un lenguaje de programación completo, de fácil manejo y gran eficiencia usado en grandes ámbitos industriales como Youtube o Google.
Este lenguaje tiene ciertos tipos de elementos los cuales son:
- Str: Cadenas de caracteres como letras o número.
- Int: Números enteros.
- Float: Número decimales.
- Boolean: Verdadero (True) o falso (FalseS)
Algunas de las acciones básicas que se pueden realizar con valores y objetos son:
| Operador | Acción |
|---|---|
| + | Suma |
| - | Resta |
| * | Multiplicación |
| % | Módulo (residuo) |
| ** | Exponente |
También es posible cambiar los tipos de los atributos con los siguienetes comandos:
| Método | Conversión |
|---|---|
| str() | Convierte e un objeto a una cadena de caracteres |
| abs() | Convierte un número a su valor positivo |
| int() | Convierte y redondea un número a un entero |
| len() | int que indica el largo de un objeto |
Adicionalemente, se pueden generar ciclos, búcles y condiciones:
if a==b: # Si "a" es igual a "b".
acción
if a!=b # Si "a" es diferente de "b".
acción
if a<b: # Si "a" es menor que "b".
acción
if a>=b: # Si "a" es mayor o igual a "b".
acción
for i in range(10): # Por cada i que toma valores entre 0 y 9.
acción
while (condicion): # Mientras se cumpla la condición.
acciónAsimismo, se pueden adicionar módulos para ampliar la funcionalidad de python con la función import. Tales como los siguientes:
- **Matplotlib: ** Para gráficos y ploteo de datos.
- Numpy: Para operaciones y funciones matemáticas.
- Scypi: Para métodos matemáticos complejos.
Es un complemento para python que ofrece herramientas interactivas como el cuaderno. El cual permite probar en cualquier momento el código escrito y ver su resultado o errores arrojados.
Para ejecutar el ambiente de cuadernos de est dependencia se ejecuta el siguiente código:
$ ipython notebook # Se debe encontrar previamente instalado.Es un comando de la terminal que permite crear ejecutables a partir de la compilación de archivos escritos en diferentes lenguajes de programación, lo que le da una amplia utilidad en ámbitos académicos y prácticos.
Me gustaría trabajar algo relacionado con geociencias, tengo pensado dos cosas:
- Nucleación y crecimiento de cristales a partir de un magma.
- Partición y evolución de un magma básico.
Debo investigar más acerca de los componentes computacionales del proyecto.
Es una librería de recursos que se integran python para la generación de gráficas, el ploteo y análisis de datos. Es una de las librerías importadas con el comándo mágico %pylab inline
%pylab inline
figure(figsize=(n,n)) #Crea una figúra con dimensiones dadas.
subplot() # Permite dividir la gráfica en varias partes.
plot() #Sirve para plotear datos en dos ejes.
hist() #Sirve para generar histogramas.
xlim(min,max) # Define el rangos del eje x en el que es mostrada la gráfica.
ylim(min,max) # Define el rangos del eje y en el que es mostrada la gráfica.
legend() # Permite la inserción de leyendas en las gráficas.
savefig() # Permite exportar la imágen en varios formatos.
show() # Muestra la gráfica creada.%pylab inline
a = [1,1,1,1,1,3,3,3,3,3,5,5,5,5,5,10,10,10,10,10,20,20,20,20,20]
b = [1,2,3,4,5,1,2,3,4,5,1,2,3,4,5,1,2,3,4,5,1,2,3,4,5]
delta = pi/8
t = linspace(-pi,pi,300)
figure(figsize=(15,15))
for i in range(25):
x = sin(a[i] * t + delta)
y = sin(b[i] * t)
subplot(5,5,i+1)
axis('off')
savefig("Lissajous.png")
plot(x,y)
show()Se realizó la lectura correspondiente al segundo capítulo del libro de ==Landou== que trataba acerca de los errores e incertidumbres en cálculos numéricos con métodos computacionales. Es importante conocer y saber manejar estos errores ya que generan incertidumbres en nuestros resultados y son prácticamente imposibles de evadir en el proceso de programación.
Se encontró que existen 4 tipos principales de errores los cuales son:
- Blunders/ Bad theory: Que se refieren a una mala implementación de los datos o de la teoría.
- Random errors: Eventos aleatorios que no están bajo nuestra jurisdicción.
- Approximation errors: Se refiere a los valores cercanos pero no iguales a los exactos en ámbitos matemáticos.
- Round-off errors: Que se refiere a las limitaciones respecto al computador en almacenar o procesar datos.
#####Interpolación Busca unir varios puntos por medio de funciones halladas con distintos métodos. la función interp1d permite interpolar arreglos de puntos en x y y para generar un función de un tipo dado.
from scipy import interpolate
func = interpolate.interp1d(x,y,kind="tipo")Los tipos que recibe este comando son:
- 'linear' : Une los puntos con líneas rectas.
- 'nearest': El valor en un sitio será igual al del punto más cercano.
- 'zero' : El valor de un tramo será el mismo del punto anterior hasta que llegue a un segundo punto.
- 'quadratic' : Une los puntos con funciones polinomiales de órden 2.
- 'cubic' : Une los puntos con funciones polinomiales de órden 3.
- n : Donde n es un entero que indica el órden del polinomio que unirá los puntos.
A diferencia de la interpolación, los ajustes buscan una función sencilla cuyos valores tengan la mínima distancia posible con los puntos dados. La librería de Numpy contiene una función llamada polyfit que permite hallar las constantes que acompañan la función polinomial resultante como ajuste de unos puntos dados.
import numpy as np
ajuste = np.polyfit(x,y,n) #Donde n es el órden del polinomio para el ajuste.
def func (x): # Define la función que maneja el ajuste.
return ajuste[0]*(x**n) + ajuste[1]*(x**(n-1)) ... + ajuste[n]
# La función definida ya puede recibir valores de "x" y ser graficada o usada.%pylab inline
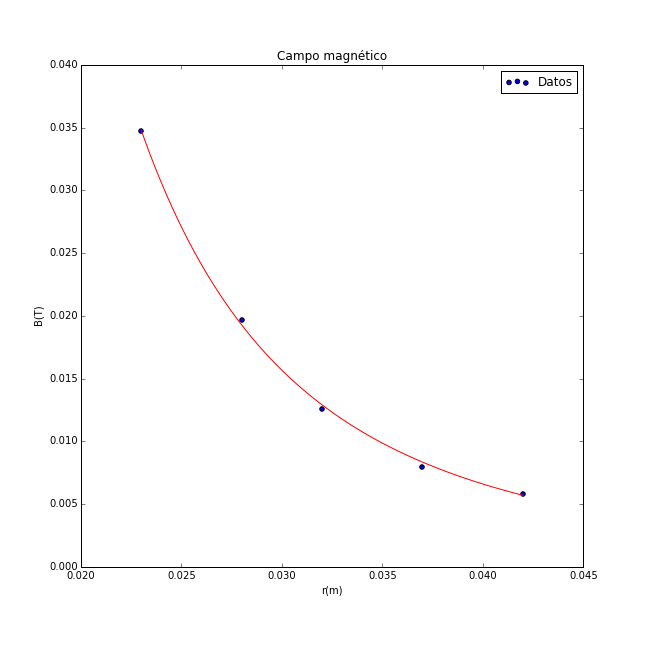
import scipy.optimize as sp
x=[0.023,0.028,0.032,0.037,0.042] #Datos en las medidas apropiadas.
y=[0.034745,0.019689,0.012594,0.007982,0.005822]
def func(r,a):
return a/(r**3)
ajuste = sp.curve_fit(func,x,y)
laA= ajuste[0]
momentum = laA/(2*10**-7)
print ("El momentum dipolar magnético es de : %.3f" % momentum)
x2 = linspace(0.023,0.042,100)
figure(figsize=(9,9))
plot(x2,func(x2,laA),"r")
scatter(x,y,label='Datos')
title(u'Campo magnético')
xlabel('r(m)')
ylabel('B(T)')
legend()
show()Y para crear la pseudo-tabla se uso:
soluciones = func(x2,laA)
print('Distancia(cm) Campo B(uT)')
for i in range(len(x2)):
print('%.4f %.2f'%(x2[i]*10**2,soluciones[i]*10**6))He considerado que la mejor opción es recrear la nucleación y formación de un cristal sencillo de galena (ya que es cúbico) pero para esto debo investigar más acerca de las constantes de fuerzas interatómicas que se involúcran en este proceso.
Se trabajó algo acerca de las raices de funciones y los métodos computacionales para hallarlas.
####Git: Ramas
Se aprendió acerca del uso de ramas de git las cuales se refiere a distintos caminos o estadios que puede tener un reposiorio al mismo tiempo. Por ejemplo, la rama pŕincipal por defecto se llama "Master"
$ git branch nuevarama # Crea una nueva rama.
$ git checkout nuevarama # Indíca trabajar en la nueva rama.
$ git checkout master # Se devuelve a la rama principal
$ git merge nuevarama # Combina la nueva rama con la principalSe habló sobre la transformada de fourier sus aplicaciones y algo de su implementación en python con ejemplos de cosas útiles que han influido en el diario vivir como el manejo de señales de sonido.
Se trabajó acerca de la transformada Fourier y el manejo de imágenes en python con el uso de la librería scipy.
Lena es un ejemplo de una foto de un mujer convertida en una matriz de 512x512 que contiene los datos sobre su color en escala de grises. Se puede observar de la siguiente forma:
#Importar las librerias necesarias.
%matplotlib inline
import matplotlib.pyplot as plt
from scipy import misc
lena = misc.lena() # El paquete misc contiene el método lena() con la foto.
plt.figure(figsize=(8,8))
plt.imshow(lena, cmap="gray") # Se plotea la imágen en escala de grises.
plt.axis('off') # Se Remueven los ejes.
plt.show()Podemos fabricar su negativo de la siguiente manera:
import numpy as np
negativo = np.zeros((len(lena),len(lena))) # Crea matriz con ceros del tamaño de la imágen de lena.
for i in range(len(lena)): #Recorre todos los puntos de lena.
for j in range(len(lena)):
negativo[i][j] = 255 - lena[i][j] #255 es el valor máximo de intensidad del color.
...
plt.imshow(negativo, cmap="gray") # Se plotea el negativo en escala de grises.
...Asimismo, se puede invertir horizontalmente.
horizontal = np.zeros((len(lena),len(lena)))
for i in range(len(lena)):
for j in range(len(lena)):
horizontal[i][-j] = lena[i][j]
...
plt.imshow(horizontal, cmap="gray")# Se plotea el negativo en escala de grises.
...
o se puede invertir vericalmente.
vertical = np.zeros((len(lena),len(lena)))
for i in range(len(lena)):
for j in range(len(lena)):
vertical[-i][j] = lena[i][j]
...
plt.imshow(vertical, cmap="gray") # Se plotea el negativo en escala de grises.
...Se estudió acerca de los métodos numéricos para hallar derivaciones en python extendible a otros lenguajes.
%pylab inline
archivo = genfromtxt("monthrg.dat")
years = array(archivo[:,0] + archivo[:,1]/12)
means = array(archivo[:,3])
x = []
y = []
for i in range (len(years)):
if means[i] > 0 and years[i] >= 1800 and len(x) < 2048:
x.append(years[i])
y.append(means[i])
N = 2**11
fr = 1/(x[-1]-x[1])
dt = 1./fr / N
trans = fft.fft(y)
freq = fftfreq(N, dt)
trans[abs(freq) > 0.2] = 0
y2 = ifft (trans)
figure(figsize= (8,8))
plot(x,y, "cyan")
plot(x, real(y2), color = "red")
#xlim (1800,2000)
ylim (0,250)
show()y junto a esto se grafican la frecuencias y se observa que los picos están cercanos a 0.9 lo que indica que los ciclos solares se llevan a cabo cerca de los 11 años.
figure()
plot (freq, abs(trans))
xlim(-0.2,0.2)
show()Trapezoidal: Uniendo valores de F(x) por líneas rectas en distintos espacios. Polinomial: Se unen valores de F(x) empleando interpolaciones con polinomios de 2do grado. De alguien (Lagrange): La cual elige las x optimas para interpolar con polinomios de grado n-1.
- Grandshmith--> ortonormalización
**Smopy: ** Es un módulo de python que permite la incorporación de mapas a los trabajos, así como el ploteo de coordenadas sobre estos. (Ver más información)
import smopy #importa el módulo.
# Crea el mapa usando internet, las coordenadas del rectángulo deseado y el zoom (z) con el que se desea que aparezca.
map = smopy.Map(min_latitud,min_longitud,max_latitud, max_longitud)), z = 15)
# Permite cambiar coordenadas a pixeles para poder plotearlas. También acepta listas.
x, y = map.to_pixels(latitud, longitud)
map.show_mpl(figsize=(8, 8)) #Crea el mapa como figúra de Matplotlib con unas dimensiones dadas.
plot(x,y) #Plotea el recorrido usando las posiciones en pixeles como un comando de Matplotlib.
show()Se estudiaron métodos para la solución de ecuaciones diferenciales ordinarias haciendo énfasis en el método de Runge-Kutta.
(H_O11)
Se estudió un método en clase que permitía ir revisando el error local y global de la solución a una ecuación dierencial para que se iterara varias veces hasta lograr una tolerancia de error deseada.
**Adam-Bashfort: ** Método de resolución de ecuaciones diferenciales ordinarias que encuentra la interpolación de derivadas anteriores y extrapola la solución.
(H_O12)
Ecuaciones diferenciales pasos finitos Ecuación de onda Método de relajación








