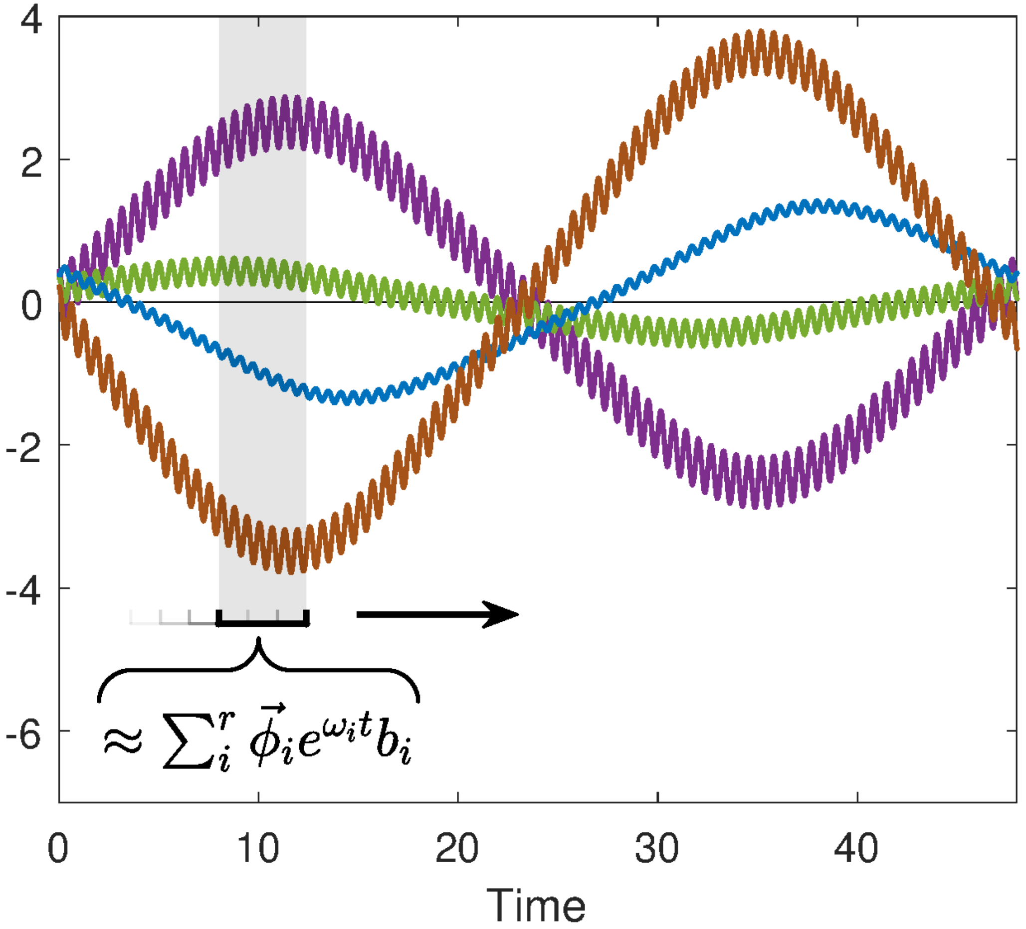
MATLAB code demos for the paper:
"Dynamic mode decomposition for multiscale nonlinear physics"
Daniel Dylewsky, Molei Tao, and J. Nathan Kutz
PHYSICAL REVIEW E 99, 063311 (2019)
https://journals.aps.org/pre/abstract/10.1103/PhysRevE.99.063311
Example 1: A simple toy multiscale model
Example 2: System with separate but intermittently-overlapping time scales
Example 3: Three-body planetary system with dynamics on many disparate time scales


