Given the root of a binary tree, return its maximum depth.
A binary tree's maximum depth is the number of nodes along the longest path from the root node down to the farthest leaf node.
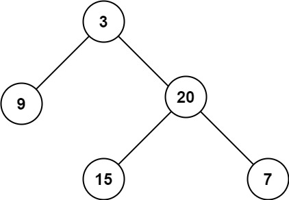
Example 1:
Input: root = [3,9,20,null,null,15,7]
Output: 3
Example 2:
Input: root = [1,null,2]
Output: 2
Constraints:
- The number of nodes in the tree is in the range
[$0, 10^4$]. 100 <= Node.val <= 100
給一個二元樹的根結點 root
要找出二元樹的最大深度
每個結點都是由左結點跟右結點所組成
所以對於每個結點其最大深度 = Max(左結點最大深度,右結點最大深度) + 1(因為加上目前這層深度)
當該結點是空值時,最大深度定義是 0(因為不存在)
class Solution {
/**
* Definition for a binary tree node.
* public class TreeNode {
* int val;
* TreeNode left;
* TreeNode right;
* TreeNode() {}
* TreeNode(int val) { this.val = val; }
* TreeNode(int val, TreeNode left, TreeNode right) {
* this.val = val;
* this.left = left;
* this.right = right;
* }
* }
*/
public int maxDepth(TreeNode root) {
if (root == null) {
return 0;
}
return Math.max(maxDepth(root.left), maxDepth(root.right)) + 1;
}
}- 要思考出二元樹最大深度的關係式
- 知道邊界條件
- Understand What problem need to solve
- Analysis Complexity
