Use graphviz with pure java. Create graphviz models using java code and convert them into nice graphics.
To execute the graphviz layout engine, one of these options is used:
- If the machine has graphviz installed and a
dotcommand is available, spawn a new process runningdot. - Use this javascript version of graphviz and execute it on the V8 javascript engine. This is done with the bundled J2V8 library.
- Alternatively, the javascript can be executed on Java's own Nashorn or GraalVM engine (preferring Graal if both are available).
The method(s) to be used can be configured with the Graphviz.useEngine() method.
This project heavily uses classes from java.awt. Therefore, it does not work on android.
This project is available via Maven:
<dependency>
<groupId>guru.nidi</groupId>
<artifactId>graphviz-java</artifactId>
<version>0.18.1</version>
</dependency>graphviz-java contains all needed dependencies including one to J2V8 for the current platform (Linux, Mac OS X, Windows).
This should be ok for most use cases.
gradle does not support this way of defining a dependency. Gradle users have to manually add a dependency to J2V8,
e.g. com.eclipsesource.j2v8:j2v8_linux_x86_64:4.6.0
Instead of graphviz-java there are two alternative dependencies that can be used:
graphviz-java-all-j2v8additionally contains dependencies to allJ2V8platforms. So the same application can run on Linux, Mac OS X and Windows.graphviz-java-min-depscontains only dependencies that are absolutely necessary. All other dependencies are marked asoptionaland must added manually. See the pom.xml for details.
Instead of J2V8, one can also use the JDK javascript engine Nashorn.
If Nashorn is too slow or on JDK version 15 or newer (where Nashorn has been removed),
the graal javascript engine is a third option.
It needs this additional dependency:
<dependency>
<groupId>org.graalvm.js</groupId>
<artifactId>js</artifactId>
<version>20.0.0</version>
</dependency>Graphviz-java uses the SLF4J facade to log. Users must therefore provide a logging implementation like LOGBack
<dependency>
<groupId>ch.qos.logback</groupId>
<artifactId>logback-classic</artifactId>
<version>1.2.3</version>
</dependency>or Log4j
<dependency>
<groupId>org.apache.logging.log4j</groupId>
<artifactId>log4j-core</artifactId>
<version>2.13.0</version>
</dependency>
<dependency>
<groupId>org.apache.logging.log4j</groupId>
<artifactId>log4j-slf4j-impl</artifactId>
<version>2.13.0</version>
</dependency>The API is separated into a mutable and immutable part.
The basic usage is as follows (assuming import static guru.nidi.graphviz.model.Factory.*).
Graph g = graph("example1").directed()
.graphAttr().with(Rank.dir(LEFT_TO_RIGHT))
.nodeAttr().with(Font.name("arial"))
.linkAttr().with("class", "link-class")
.with(
node("a").with(Color.RED).link(node("b")),
node("b").link(
to(node("c")).with(attr("weight", 5), Style.DASHED)
)
);
Graphviz.fromGraph(g).height(100).render(Format.PNG).toFile(new File("example/ex1.png"));- Global attributes are set using the
graphAttr,linkAttrandnodeAttrmethods. - Nodes are styled using the
withmethod. - To style edges, use the static method
towhich returns aLinkthat also has awithmethod. - The
withmethod accepts predefined attributes likeStyle,ArroworShapeas well as everything defined in the Graphviz reference e.g.with("weight", 5)or even arbitrary custom attributes. - Custom attribute classes can be defined by extending
SingleAttributesorMapAttributes.
Attention: Node a = node("a"); a.with(Color.RED); Is not working as it might be expected.
All "mutating" methods like with on nodes, links and graphs create new objects and leave the original object unchanged.
So in the example above, variable a contains a node that is NOT red.
If you want a red node, do a = a.with(Color.RED) or use the mutable API.
MutableGraph g = mutGraph("example1").setDirected(true).add(
mutNode("a").add(Color.RED).addLink(mutNode("b")));
Graphviz.fromGraph(g).width(200).render(Format.PNG).toFile(new File("example/ex1m.png"));The mutable API provides similar functions as the immutable one with slightly different syntax:
mutGraphinstead ofgraph,mutNodeinstead ofnode- use setters:
setDirectedinstead ofdirected addinstead ofwidth
There is a third possibility to use the API, based on the mutable version.
Its form is closer to the way dot files are written.
In the lambda of the MutableGraph.use method, all referenced nodes, links and graphs are automatically added to the parent graph,
without explicitly calling the add method.
MutableGraph g = mutGraph("example1").setDirected(true).use((gr, ctx) -> {
mutNode("b");
nodeAttrs().add(Color.RED);
mutNode("a").addLink(mutNode("b"));
});
Graphviz.fromGraph(g).width(200).render(Format.PNG).toFile(new File("example/ex1i.png"));This corresponds to the following dot file:
digraph example1 {
b
node[color=red]
a -> b
}Kotlin DSL is still experimental. Things can change and any feedback is very welcome.
<dependency>
<groupId>guru.nidi</groupId>
<artifactId>graphviz-kotlin</artifactId>
<version>0.18.1</version>
</dependency>The kotlin DSL based on the imperative API. It defines that following elements:
edge,node,graphvariables to define global attributes.-,/,[]operators on MutableNode which link, define ports, set attributes.-,/,[]operators on String so that strings can be used directly to define nodes.-,[]operators on Link which allow to chain links and set attributes.
To enable the functions, use import guru.nidi.graphviz.*
graph(directed = true) {
edge["color" eq "red", Arrow.TEE]
node[Color.GREEN]
graph[Rank.dir(LEFT_TO_RIGHT)]
"a" - "b" - "c"
("c"[Color.RED] - "d"[Color.BLUE])[Arrow.VEE]
"d" / NORTH - "e" / SOUTH
}.toGraphviz().render(PNG).toFile(File("example/ex1.png"))Dot files can be parsed and thus manipulated. Given this file color.dot:
graph {
{ rank=same; white}
{ rank=same; cyan; yellow; pink}
{ rank=same; red; green; blue}
{ rank=same; black}
white -- cyan -- blue
white -- yellow -- green
white -- pink -- red
cyan -- green -- black
yellow -- red -- black
pink -- blue -- black
}
Then running this program:
try (InputStream dot = getClass().getResourceAsStream("/color.dot")) {
MutableGraph g = new Parser().read(dot);
Graphviz.fromGraph(g).width(700).render(Format.PNG).toFile(new File("example/ex4-1.png"));
g.graphAttrs()
.add(Color.WHITE.gradient(Color.rgb("888888")).background().angle(90))
.nodeAttrs().add(Color.WHITE.fill())
.nodes().forEach(node ->
node.add(
Color.named(node.name().toString()),
Style.lineWidth(4), Style.FILLED));
Graphviz.fromGraph(g).width(700).render(Format.PNG).toFile(new File("example/ex4-2.png"));
}results in this graphics:
Node
main = node("main").with(Label.html("<b>main</b><br/>start"), Color.rgb("1020d0").font()),
init = node(Label.markdown("**_init_**")),
execute = node("execute"),
compare = node("compare").with(Shape.RECTANGLE, Style.FILLED, Color.hsv(.7, .3, 1.0)),
mkString = node("mkString").with(Label.lines(LEFT, "make", "a", "multi-line")),
printf = node("printf");
Graph g = graph("example2").directed().with(
main.link(
to(node("parse").link(execute)).with(LinkAttr.weight(8)),
to(init).with(Style.DOTTED),
node("cleanup"),
to(printf).with(Style.BOLD, Label.of("100 times"), Color.RED)),
execute.link(
graph().with(mkString, printf),
to(compare).with(Color.RED)),
init.link(mkString));
Graphviz.fromGraph(g).width(900).render(Format.PNG).toFile(new File("example/ex2.png"));import static guru.nidi.graphviz.attribute.Records.*;
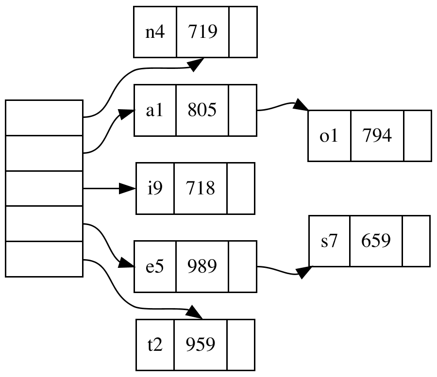
import static guru.nidi.graphviz.model.Compass.*;Node
node0 = node("node0").with(Records.of(rec("f0", ""), rec("f1", ""), rec("f2", ""), rec("f3", ""), rec("f4", ""))),
node1 = node("node1").with(Records.of(turn(rec("n4"), rec("v", "719"), rec("")))),
node2 = node("node2").with(Records.of(turn(rec("a1"), rec("805"), rec("p", "")))),
node3 = node("node3").with(Records.of(turn(rec("i9"), rec("718"), rec("")))),
node4 = node("node4").with(Records.of(turn(rec("e5"), rec("989"), rec("p", "")))),
node5 = node("node5").with(Records.of(turn(rec("t2"), rec("v", "959"), rec("")))),
node6 = node("node6").with(Records.of(turn(rec("o1"), rec("794"), rec("")))),
node7 = node("node7").with(Records.of(turn(rec("s7"), rec("659"), rec(""))));
Graph g = graph("example3").directed()
.graphAttr().with(Rank.dir(LEFT_TO_RIGHT))
.with(
node0.link(
between(port("f0"), node1.port("v", SOUTH)),
between(port("f1"), node2.port(WEST)),
between(port("f2"), node3.port(WEST)),
between(port("f3"), node4.port(WEST)),
between(port("f4"), node5.port("v", NORTH))),
node2.link(between(port("p"), node6.port(NORTH_WEST))),
node4.link(between(port("p"), node7.port(SOUTH_WEST))));
Graphviz.fromGraph(g).width(900).render(Format.PNG).toFile(new File("example/ex3.png"));Images can be included in graphviz in two ways.
One possibility is using the <img> tag inside a HTML label:
Graphviz.useEngine(new GraphvizCmdLineEngine());
Graphviz g = Graphviz.fromGraph(graph()
.with(node(Label.html("<table border='0'><tr><td><img src='graphviz.png' /></td></tr></table>"))));
g.basedir(new File("example")).render(Format.PNG).toFile(new File("example/ex7.png"));Because viz.js does not support <img> tags, this works only when using the command line engine.
The other possibility is the image attribute of a node:
Graphviz g = Graphviz.fromGraph(graph()
.with(node(" ").with(Size.std().margin(.8, .7), Image.of("graphviz.png"))));
g.basedir(new File("example")).render(Format.PNG).toFile(new File("example/ex8.png"));This works with all engines.
In both cases, the basedir() method can be used to define where relative paths are looked up.
The size of the resulting image, the rendering engine and the output format can be configured:
Graphviz.useEngine(new GraphvizCmdLineEngine()); // Rasterizer.builtIn() works only with CmdLineEngine
Graph g = graph("example5").directed().with(node("abc").link(node("xyz")));
Graphviz viz = Graphviz.fromGraph(g);
viz.width(200).render(Format.SVG).toFile(new File("example/ex5.svg"));
viz.width(200).rasterize(Rasterizer.BATIK).toFile(new File("example/ex5b.png"));
viz.width(200).rasterize(Rasterizer.SALAMANDER).toFile(new File("example/ex5s.png"));
viz.width(200).rasterize(Rasterizer.builtIn("pdf")).toFile(new File("example/ex5p"));
String dot = viz.render(Format.DOT).toString();
String json = viz.engine(Engine.NEATO).render(Format.JSON).toString();
BufferedImage image = viz.render(Format.PNG).toImage();To rasterize with batik, provide this library on the classpath:
<dependency>
<groupId>org.apache.xmlgraphics</groupId>
<artifactId>batik-rasterizer</artifactId>
<version>1.13</version>
</dependency>Processors can be registered to further customize what goes in and out of the graphviz engine.
- Pre processors change the dot file that is fed into the graphviz engine.
- Post processor change the result of the graphviz engine (image, svg,...).
Graph graph = graph().with(node("bad word").link("good word"));
Graphviz g = Graphviz.fromGraph(graph)
.preProcessor((source, options, processOptions) -> source.replace("bad word", "unicorn"))
.postProcessor((result, options, processOptions) ->
result.mapString(svg ->
SvgElementFinder.use(svg, finder -> {
finder.findNode("unicorn").setAttribute("class", "pink");
})));
g.render(Format.PNG).toFile(new File("example/ex9.png"));To use graphviz inside javadoc comments, add this to pom.xml:
<build>
<plugins>
<plugin>
<artifactId>maven-javadoc-plugin</artifactId>
<version>3.1.0</version>
<configuration>
<taglet>guru.nidi.graphviz.taglet.GraphvizTaglet</taglet>
<tagletArtifact>
<groupId>guru.nidi</groupId>
<artifactId>graphviz-taglet</artifactId>
<version>0.18.1</version>
</tagletArtifact>
</configuration>
</plugin>
</plugins>
</build>To use this with JDK 9 or later, replace graphviz-taglet
with graphviz-taglet9.
The usage inside javadoc is then as follows:
/**
* Support graphviz inside javadoc.
* <p>
* {@graphviz
* graph test { a -- b }
* }
* </p>
* So easy.
*/
public class GraphvizTaglet implements Taglet {}To change the appearance of the graph into something more sketchy / hand drawn, the Roughifyer processor can be used.
First, add the rough module to the dependencies:
<dependency>
<groupId>guru.nidi</groupId>
<artifactId>graphviz-rough</artifactId>
<version>0.18.1</version>
</dependency>Then, apply the Roughifyer to the graph:
final Graph g = graph("ex1").directed().with(
graph().cluster()
.nodeAttr().with(Style.FILLED, Color.WHITE)
.graphAttr().with(Style.FILLED, Color.LIGHTGREY, Label.of("process #1"))
.with(node("a0").link(node("a1").link(node("a2")))),
graph("x").cluster()
.nodeAttr().with(Style.FILLED)
.graphAttr().with(Color.BLUE, Label.of("process #2"))
.with(node("b0").link(node("b1").link(node("b2")))),
node("start").with(Shape.M_DIAMOND).link("a0", "b0"),
node("a0").with(Style.FILLED, Color.RED.gradient(Color.BLUE)).link("b1"),
node("b1").link("a2"),
node("a2").link("end"),
node("b2").link("end"),
node("end").with(Shape.M_SQUARE)
);
Graphviz.fromGraph(g)
.processor(new Roughifyer()
.bowing(2)
.curveStepCount(6)
.roughness(1)
.fillStyle(FillStyle.hachure().width(2).gap(5).angle(0))
.font("*serif", "Comic Sans MS"))
.render(Format.PNG)
.toFile(new File("example/ex1-rough.png"));













