A note for understanding and review the great work of geodetector, some paragraphs and figures are copied directly from original file. Source: Wang JF-{Geodetector}
Spatial Stratified Heterogeneity (SSH) refers to the difference within strata less than between strata. Such as landuse types and climate zones in spatial data, seasons and years in time series, occupations, age groups, incomes strata.
SSH occurs in all scales from universe to DNA.
All tasks can be accomplished by the Geodetector q-statistic
where N and σ2 stand for the number of units and the variance of Y in study area, respectively;
Geodetector: measure SSH and to make attribution for/by SSH (Fig. 1)
- measure and find SSH among data;
- test the coupling between two variables Y and X, according to their SSHs, without assumption of linearity of the association;
- investigate interaction between two explanatory variables X1 and X2 to a response variable Y, without any specific form of interaction such as the assumed product in econometrics (Fig. 2).
The value of q is strictly within [0, 1].
- If Y is stratified by
Y itself:
- q = 0 indicates that Y is absent of SH
- q = 1 indicates that Y is SH perfectly
- 100q% measures the degree of SH of Y.
- If Y is stratified by an
explanatory variable X
- then q = 0 indicates that there is no coupling between Y and X
- q = 1 indicates that Y is completely determined by X
- X explains 100q% of Y.
q-statistic measures the association between X and Y (or X1 and X2), both linearly and nonlinearly.
Geodetector q statistic helps understand spatial confounding, sample bias and overfitting.
Confounding arisesif a global model was applied to a SH population, leading to statistical insignificance. The problem can be simply avoided if SH is identified (by Geodetector q statistic) then modelling in the strata, separately.A sample would be biasedif a population is SH and the sample do not cover all strata. The problem can be solved if SH is identified (by Geodetector q statistic) then apply bias remedy models such asHeckman regressionandBshade method.- Local models aim to overcome heterogeneity but often suffer
overfittingand too many parameters to interpret. The problems can be avoided if modelling in strats or stratifying the outputs of a local model then interpreting the stratified parameters.
- The
risk detectormaps response variable in strata: Y(X); - The
factor detectorq-statistic measures the degree of SH of a variable Y; and the determinant power of an explanatory variable X of Y; - The
ecological detectoridentifies the difference of the impacts on Y between two explanatory variables X1 ~ X2; - The
interaction detectorreveals whether the risk factors X1 and X2 (and more X) have an interactive influence on a response variable Y (Fig.2).
Note: Y is numerical; X MUST be categorical, e.g. landuse types, seasons. If X is numerical it should be transformed to be categorical, e.g. GDP per capita is stratified into 5 strata
- R package: {geodetector}
- R package: {GD}
- Excel file: (http://www.geodetector.cn/#_Download,_with_Datasets_1)
Geodetector output 4 files:
- risk detector
- factor detector
- ecological detector
- interaction detector.
The results of each environmental risk factor are presented in two table:
- The first table gives the average Y in each stratum of a risk factor.
- The second table gives the statistically significant difference in the average Y between two strata of X; if there is a significant difference, the corresponding value is “Y”, else it is “N”.
Present the each environmental risk factor's q values and p values.
Present the statistically significant differences between two environmental risk factors. If Y(X1) (risk factor names in row) was significantly bigger than Y(X2) (risk factor names in column), the associated value is “Y”, while “N” expresses the opposite meaning.
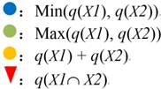
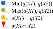
“Interaction relationships” represent the interaction relationship for the two factors. The relationship is defined in a coordinate axis. It has 5 intervals, including
- “( -∞,min(q(x), q(y)) )”
- “( min(q(x), q(y)), max(q(x), q(y)) )”
- “( max(q(x), q(y)), q(x) + q(y) )”
- “ q(x) + q(y) ”
- “( q(x) + q(y), +∞ )”
The interaction relationship is determined by the location of q(xÇy) in the 5 intervals.
- If x is
categorical, e.g. landuse types, do nothing; - If x is
numerical
- Stratification according to some industry consensus, e.g. UN standard for the GDP per capita: poor, middle, …; or
- Ordered then equally divided 2~7 strata. Use the stratification with bigger q and interpretable; or
- Try different stratifications, use the one with biggest q. The philosophy like regression (OLS), in which try different {b} and use the one maximizing R2.
Yes, like regression in which coefficient b value varies with variables;
Numerical x has to be stratified (see Q1), no less than 2 sample units in each stratum.
- When measuring SSH of a variable y: 100q% SSH degree, at p sig. level
- When attributing y to x: x explains 100q% of y, no need to report p value.
No, because of nonlinear coupling between y and xi; or interaction between xi. For example, U shape association between human mortality (y) and temperature (x)
No directions for nonlinearity, e.g. Kuznets curve; U shape association between human mortality (y) and temperature (x). But, you may check linear direction in each of strata.
- Resampling, 100 sample units in each of strata are usually enough
- Use R-Geodetector software

