- Խնդիր 234
- Խնդիր 224
- Խնդիր 214
- Խնդիր 204
- Խնդիր 194
- Խնդիր 184
- Խնդիր 174
- Խնդիր 164
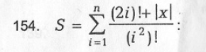
- Խնդիր 154.0
- Խնդիր 154.1
VB
Dim n%, gen%, cnt%
Dim mass() As Integer
Private Sub Command1_Click()
n = Val(InputBox("n="))
ReDim mass(1 To n)
For i = 1 To n
mass(i) = InputBox("Enter a digit - " & i)
Next
gen = 0
cnt = 0
For i = 1 To n
If Not mass(i) Mod 2 = 0 Then
gen = gen + mass(i)
cnt = cnt + 1
End If
Next
result.Text = gen / cnt
End SubVB
Dim n%, gen%
Dim mass() As Integer
Private Sub Command1_Click()
n = Val(InputBox("n="))
k = Val(InputBox("k="))
ReDim mass(1 To n)
For i = 1 To n
mass(i) = InputBox("Enter a digit - " & i)
Next
gen = 0
For i = 1 To n
If Abs(mass(i)) < k Then
gen = gen + mass(i) ^ 3
End If
Next
result.Text = gen
End SubVB
Dim n%, cnt%, gen%
Dim mass() As Integer
Private Sub Command1_Click()
n = Val(InputBox("n="))
ReDim mass(1 To n)
For i = 1 To n
mass(i) = InputBox("Enter a digit - " & i)
Next
cnt = 0
gen = 0
For i = 1 To n
If mass(i) < 0 Then
cnt = cnt + 1
gen = gen + mass(i)
End If
Next
result.Text = gen / cnt
End SubPy3
import math
from tkinter import *
root = Tk()
root.title("Սամուել - Խնդիր 204")
root.resizable(False, False)
root.attributes("-toolwindow", 1)
def only_numbers(char):
return char.isdigit()
def button_click():
if e.get() != '':
n = int(e.get())
message = []
while n != 0:
n = round(n / 10, 1)
message.append(int((round(math.modf(n)[0], 1) * 10)))
n = int(n)
else:
return
listbox = Listbox(root, relief=GROOVE, listvariable=StringVar(value=message))
listbox.grid(row=1, column=0, columnspan=3, padx=10, pady=10)
validation = root.register(only_numbers)
e = Entry(root, relief=GROOVE, width=20, borderwidth=1, validate="key", validatecommand=(validation, '%S'))
e.grid(row=0, column=0, columnspan=3, padx=10, pady=10)
button_sum = Button(root, relief=RIDGE, borderwidth=1, text="Submit", padx=3, pady=0, fg='#fff', bg='#a74a6d', command=lambda: button_click())
button_sum.grid(row=0, column=4, padx=10, pady=10)
root.mainloop()
Py3
from tkinter import *
import math
root = Tk()
root.title("Սամուել - Խնդիր 194")
root.resizable(False, False)
root.attributes("-toolwindow", 1)
def only_numbers(char):
return char.isdigit()
def button_click():
if e.get() != '':
n = int(e.get())
x = 1
for k in range(1, n+1, 1):
x = x + 1/(math.factorial(k))
else:
return
listbox = Listbox(root, relief=GROOVE, listvariable=StringVar(value=x))
listbox.grid(row=1, column=0, columnspan=3, padx=10, pady=10)
validation = root.register(only_numbers)
e = Entry(root, relief=GROOVE, width=20, borderwidth=1, validate="key", validatecommand=(validation, '%S'))
e.grid(row=0, column=0, columnspan=3, padx=10, pady=10)
button_sum = Button(root, relief=RIDGE, borderwidth=1, text="Submit", padx=3, pady=0, fg='#fff', bg='#a74a6d', command=lambda: button_click())
button_sum.grid(row=0, column=4, padx=10, pady=10)
root.mainloop()
Py3
from tkinter import *
root = Tk()
root.title("Սամուել - Խնդիր 184")
root.resizable(False, False)
root.attributes("-toolwindow", 1)
def only_numbers(char):
return char.isdigit()
def button_click():
if e.get() != '':
n = int(e.get())
message = []
for k in range(n, 0, -1):
if 3 ** k < n:
message.append(k)
break
else:
return
listbox = Listbox(root, relief=GROOVE, listvariable=StringVar(value=message))
listbox.grid(row=1, column=0, columnspan=3, padx=10, pady=10)
validation = root.register(only_numbers)
e = Entry(root, relief=GROOVE, width=20, borderwidth=1, validate="key", validatecommand=(validation, '%S'))
e.grid(row=0, column=0, columnspan=3, padx=10, pady=10)
button_sum = Button(root, relief=RIDGE, borderwidth=1, text="Submit", padx=3, pady=0, fg='#fff', bg='#a74a6d', command=lambda: button_click())
button_sum.grid(row=0, column=4, padx=10, pady=10)
root.mainloop()
Py3
from tkinter import *
root = Tk()
root.title("Սամուել - Խնդիր 174")
root.resizable(False, False)
root.attributes("-toolwindow", 1)
def only_numbers(char):
return char.isdigit()
def button_click():
if e.get() != '':
n = int(e.get())
x = [1]
for k in range(1, n):
x_tmp = (2 + 1 / x[k - 1])
x.append(x_tmp)
else:
return
listbox = Listbox(root, relief=GROOVE, listvariable=StringVar(value=x))
listbox.grid(row=1, column=0, columnspan=3, padx=10, pady=10)
validation = root.register(only_numbers)
e = Entry(root, relief=GROOVE, width=20, borderwidth=1, validate="key", validatecommand=(validation, '%S'))
e.grid(row=0, column=0, columnspan=3, padx=10, pady=10)
button_sum = Button(root, relief=RIDGE, borderwidth=1, text="Submit", padx=3, pady=0, fg='#fff', bg='#a74a6d',
command=lambda: button_click())
button_sum.grid(row=0, column=4, padx=10, pady=10)
root.mainloop()
Py3
import math
from tkinter import *
root = Tk()
root.title("Սամուել - Խնդիր 164")
root.resizable(False, False)
root.attributes("-toolwindow", 1)
def only_numbers(char):
return char.isdigit()
def button_click():
if e.get() != '':
n = int(e.get())
message = []
for i in range(100, 999):
if math.sqrt(i) > n and math.modf(math.sqrt(i))[0] == 0.0:
message.append(i)
break
else:
return
listbox = Listbox(root, relief=GROOVE, listvariable=StringVar(value=message))
listbox.grid(row=1, column=0, columnspan=3, padx=10, pady=10)
validation = root.register(only_numbers)
e = Entry(root, relief=GROOVE, width=20, borderwidth=1, validate="key", validatecommand=(validation, '%S'))
e.grid(row=0, column=0, columnspan=3, padx=10, pady=10)
button_sum = Button(root, relief=RIDGE, borderwidth=1, text="Submit", padx=3, pady=0, fg='#fff', bg='#a74a6d', command=lambda: button_click())
button_sum.grid(row=0, column=4, padx=10, pady=10)
root.mainloop()
import math
from tkinter import *
root = Tk()
root.title("Սամուել - Խնդիր 154.0")
root.resizable(False, False)
root.attributes("-toolwindow", 1)
def only_numbers(char):
return char.isdigit()
def button_click():
if e.get() != '' and eb.get() != '':
n = int(e.get())
x = int(eb.get())
s = 0
for i in range(1, n+1):
s = s + (math.factorial(2*i) + abs(x)) / math.factorial(i ** 2)
else:
return
listbox = Listbox(root, relief=GROOVE, listvariable=StringVar(value=int(s)), height=2)
listbox.grid(row=2, column=1, columnspan=3, padx=10, pady=10)
validation = root.register(only_numbers)
eLabel = StringVar()
eLabel.set("n")
eLabelDir = Label(root, textvariable=eLabel, height=4)
eLabelDir.grid(row=0, column=0)
ebLabel = StringVar()
ebLabel.set("x")
ebLabelDir = Label(root, textvariable=ebLabel, height=4)
ebLabelDir.grid(row=1, column=0)
e = Entry(root, relief=GROOVE, width=20, borderwidth=1, validate="key", validatecommand=(validation, '%S'))
eb = Entry(root, relief=GROOVE, width=20, borderwidth=1, validate="key", validatecommand=(validation, '%S'))
e.grid(row=0, column=1, columnspan=3, padx=0, pady=3)
eb.grid(row=1, column=1, columnspan=3, padx=0, pady=3)
button_sum = Button(root, relief=RIDGE, borderwidth=1, text="Submit", padx=3, pady=0, fg='#fff', bg='#a74a6d', command=lambda: button_click())
button_sum.grid(row=1, column=4, padx=10, pady=3)
root.mainloop()
Py3
import math
from tkinter import *
root = Tk()
root.title("Սամուել - Խնդիր 154")
root.resizable(False, False)
root.attributes("-toolwindow", 1)
def only_numbers(char):
return char.isdigit()
def button_click():
if e.get() != '':
n = int(e.get())
message = []
for i in range(1, n):
if math.remainder(n, i) == 3.0:
message.append(i)
else:
return
listbox = Listbox(root, relief=GROOVE, listvariable=StringVar(value=message))
listbox.grid(row=1, column=0, columnspan=3, padx=10, pady=10)
validation = root.register(only_numbers)
e = Entry(root, relief=GROOVE, width=20, borderwidth=1, validate="key", validatecommand=(validation, '%S'))
e.grid(row=0, column=0, columnspan=3, padx=10, pady=10)
button_sum = Button(root, relief=RIDGE, borderwidth=1, text="Submit", padx=3, pady=0, fg='#fff', bg='#a74a6d', command=lambda: button_click())
button_sum.grid(row=0, column=4, padx=10, pady=10)
root.mainloop()























